Những mật khẩu wifi “hại não” người dùng

Để tránh bị câu trộm wifi, các khổ chủ đã không ngừng sáng tạo ra những kiểu mật khẩu không ai ngờ tới.

Với những mật khẩu thế này thì phần lớn người dùng quyết định định 4G cho nhanh chứ làm sao mà giải ra được. Nguyên nhân bởi ngoài kiến thức về nhạc lý, lịch sử, toán học... thì người dùng cũng phải biết đơn giản hóa mọi chuyện mà việc khó nhất chính là việc đơn giản nhất.

Những mật khẩu wifi “hại não” người dùng

Muốn có mạng dùng thì anh em cần hiểu về nhạc lý.

Những mật khẩu wifi “hại não” người dùng

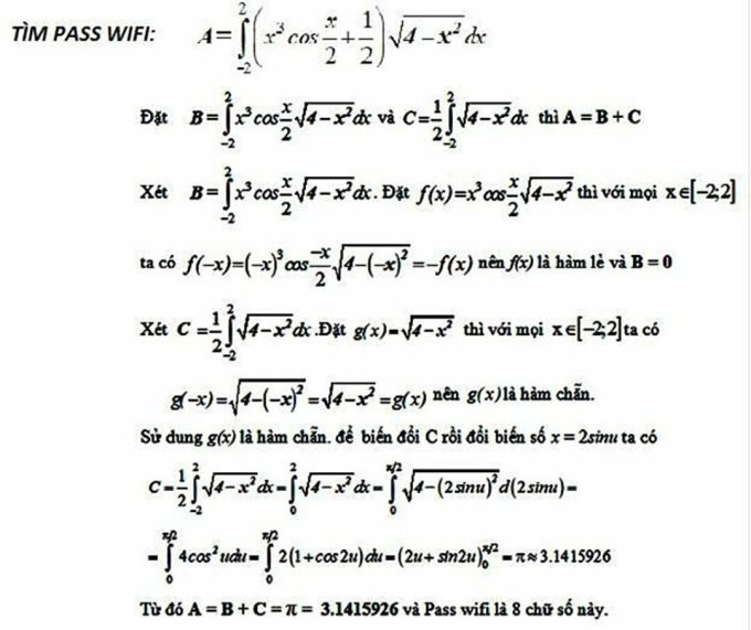
Hay làm vài con toán giải phương trình cho cuộc sống thêm sôi động.

Những mật khẩu wifi “hại não” người dùng
Những mật khẩu wifi “hại não” người dùng
Những mật khẩu wifi “hại não” người dùng

Wifi dành cho dân yêu môn Hóa cũng rất được ưa chuộng.

Những mật khẩu wifi “hại não” người dùng
Những mật khẩu wifi “hại não” người dùng
Những mật khẩu wifi “hại não” người dùng
Những mật khẩu wifi “hại não” người dùng

Tinh thông kiến thức lịch sử nữa này.

Những mật khẩu wifi “hại não” người dùng
Những mật khẩu wifi “hại não” người dùng

“Ông bụt gợi cảm”.

Những mật khẩu wifi “hại não” người dùng
Theo VNE

Đọc thêm

Giá cả cứ mãi “té nước theo mưa”

Giá cả cứ mãi “té nước theo mưa”

Đầu tháng 10 này, giá xăng dầu đã giảm sâu so với hồi còn "đu đỉnh". Nhiều mặt hàng cũng đã giảm nhiệt theo giá xăng, nhưng một số mặt hàng khác thì cứ luyến tiếc mãi "ngày xưa".
Quả táo “chát” iPhone 14

Quả táo “chát” iPhone 14

Trước khi iPhone 14 được bán chính thức tại Việt Nam, người ta vẫn có thể sở hữu một chiếc xách tay. Tuy nhiên cái giá của quả táo này khá "chát" với nhiều người.
Ý thức “tràn trề”

Ý thức “tràn trề”

Hệ thống thoát nước vốn đã không chịu nổi những cơn mưa "cực đoan". Những hành động thiếu ý thức lại làm nó càng thêm quá tải...
Dậy sớm để thành công hay khỏe mạnh?

Dậy sớm để thành công hay khỏe mạnh?

Có người dậy sớm, lao vào công việc để làm giàu, có người dậy sớm tập thể dục - đầu tư cho sức khỏe. Cũng có người dậy sớm đầu tư cho sức khỏe nhưng không hề tập thể dục.
Mở cửa xe ô tô an toàn

Mở cửa xe ô tô an toàn

Thời gian qua liên tiếp xảy ra các vụ tai nạn giao thông nghiêm trọng mà nguyên nhân xuất phát từ việc mở cửa xe ôtô bất cẩn.
Xin chào,
Tôi là Chatbot của
Báo Hà Tĩnh
Hãy hỏi tôi bất kỳ điều gì bạn cần biết về
Báo Hà Tĩnh nhé. Tôi sẵn sàng hỗ trợ!