Lần đầu tiên hai hợp chất quý Momilactones A và B có hoạt tính ức chế các enzyme trong gạo được phát hiện và phân lập thành công.
Công bố của nhóm nghiên cứu người Việt Nam do PGS Trần Đăng Xuân đang công tác tại Đại học Hiroshima (Nhật Bản) đứng đầu vừa được tạp chí chuyên ngành Phân tử của MDPI tại Thụy Sĩ đăng tải ngày 29/1.
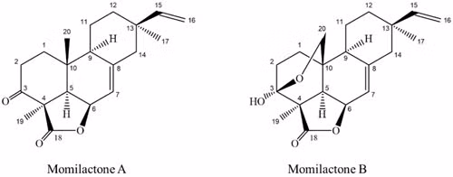
Đây là nghiên cứu đầu tiên xác nhận sự hiện diện của hai hợp chất Momilactones A và B (MA và MB) trong hạt gạo tinh chế, đồng thời là công trình đầu tiên tìm thấy hợp chất chống tiểu đường trong gạo trắng. Một số nghiên cứu trước đây từng tìm được hợp chất ức chế tiểu đường nhưng chỉ trên gạo màu nâu hoặc đỏ, thường có phẩm chất kém và khó tiêu thụ.
PGS Trần Đăng Xuân (bìa phải) và nghiên cứu viên tại Phòng thí nghiệm sinh lý, thực vật và hóa sinh. Ảnh: Đại học Hiroshima.
Nhóm nghiên cứu đã tìm ra cơ chế hoạt động ức chế α-amylase và α-glucosidase của hai hợp chất và kiểm tra hoạt tính chống tiểu đường, béo phì và bệnh gút, dựa trên các thí nghiệm "in vitro" về ức chế hoạt động của các enzyme chính có trong các bệnh này. Cả hai hợp chất đều có hoạt tính vượt trội so với chất ức chế chuẩn đang sử dụng trong điều trị bệnh tiểu đường hiện nay.
Các nhà khoa học của Đại học Hiroshima tiếp tục kiểm tra tính chống bệnh của hợp chất trên cơ thể chuột và các thí nghiệm y sinh, lâm sàng khác trước khi ứng dụng trên cơ thể người.
Công thức hóa học của hai hợp chất.
Hợp chất MA và MB rất hiếm trên thị trường thế giới và chưa được nghiên cứu đầy đủ về hoạt tính sinh học, dược lý. Hợp chất này từng được trang điện tử Carbosynth.com, một công ty chuyên bán các sản phẩm hóa sinh nổi tiếng của Anh bán với giá 125 USD cho 0,1 mg.
PGS Trần Đăng Xuân cho biết có 4 gene liên quan đến việc tổng hợp Momilactones A và B trong lúa đã được xác nhận. Điều này sẽ giúp ích cho việc tạo ra các giống lúa mới có khả năng ức chế tiểu đường, giúp làm tăng giá trị của lúa gạo Việt Nam.
Phát kiến về Momilactones A và B đưa ra quan niệm mới rằng, ăn một lượng gạo vừa phải hàng ngày góp phần tăng cường sức khỏe con người thông qua giảm bớt nguy cơ tiểu đường, bệnh gút và béo phì. Một số công bố gần đây cho biết tại Việt Nam có hơn 3 triệu người đang mắc hoặc đối mặt với nguy cơ bệnh tiểu đường nên kết quả nghiên cứu này đặc biệt có ý nghĩa.
Chỉ sau 1 tháng thẩm định và phản biện, công trình được công bố trên tạp chí chuyên ngành quốc tế của MDPI (tạp chí có chỉ số ảnh hưởng xếp hạng số 1 - Q1 - đánh giá của Scimagolab.com). MDPI là thành viên của Ủy ban Đạo đức Xuất bản (COPE). MDPI được giới nghiên cứu đánh giá là có chính sách nghiêm ngặt để đảm bảo các công trình khoa học được công bố có chất lượng cao.
Được hai mẹ con bà Trần Thị Thu Hằng - Chủ tịch Hội Chữ thập đỏ huyện Thạch Hà hiến máu kịp thời nên một bệnh nhân điều trị tại Bênh viện Đa khoa Hà Tĩnh đã qua cơn nguy kịch.
Sáng 6/2, Phó Bí thư Thường trực Tỉnh ủy Hà Tĩnh Hoàng Trung Dũng cùng đoàn đi kiểm tra công tác phòng chống dịch bệnh viêm đường hô hấp cấp do chủng mới của virus Corona (nCoV) tại Cửa khẩu quốc tế Cầu Treo.
Dong Fang, một bác sĩ tại bệnh viện Vũ Hán số 3, đang phải chịu sức ép ngày càng lớn khi ca nhiễm chủng mới của virus Corona (2019-nCoV) tại thành phố này tiếp tục tăng.
Sáng nay (6/2), Bí thư Tỉnh ủy Hà Tĩnh Lê Đình Sơn cùng Phó Chủ tịch Thường trực UBND tỉnh Đặng Quốc Vinh đi kiểm tra công tác phòng chống dịch bệnh viêm đường hô hấp cấp do virus Corona tại Công ty TNHH Gang thép Hưng Nghiệp Formosa Hà Tĩnh (FHS).
Mới chỉ gần 4 năm công tác tại Đội cảnh sát hình sự - Công an huyện Thạch Hà (Hà Tĩnh) nhưng nữ Trung úy trẻ tuổi Nguyễn Thị Nga (SN 1995) đã trở thành người “nổi tiếng” của lực lượng bởi những thành tích đáng nể.
Từ sau nghỉ Tết Nguyên đán đến nay, số lượng người dân, doanh nghiệp đến giao dịch tại Trung tâm Phục vụ hành chính công tỉnh Hà Tĩnh tăng gấp nhiều lần. Đội ngũ cán bộ Trung tâm đã hướng dẫn chu đáo để xử lý nhanh nhất các hồ sơ, thủ tục.
Trong lúc đi đánh cá trên sông Lam, đoạn chảy qua tổ dân phố 12, thị trấn Xuân An, huyện Nghi Xuân (Hà Tĩnh), một số người dân phát hiện thi thể nữ giới nổi trên mặt nước.
Thông tin từ lãnh đạo Bệnh viện Đa khoa TX Kỳ Anh (Hà Tĩnh) cho biết: Đến thời điểm này, đơn vị đã sẵn sàng nhân lực, vật lực cũng như các phương án đối phó với các tình huống dịch do virus Corona (nCoV) gây ra.
AP đưa tin, 3 người đã thiệt mạng và 179 người bị thương khi chiếc máy bay của hãng hàng không Pegasus Airlines, Thổ Nhĩ Kỳ bị trượt khỏi đường băng ngay sau khi hạ cánh trong thời tiết xấu tại sân bay quốc tế Sabiha Gokcen ở thành phố Istabul ngày 5/2.
Để phòng chống dịch viêm phổi cấp do virus Corona (nCoV) gây ra, công đoàn trong các doanh nghiệp ở Hà Tĩnh đã triển khai nhiều biện pháp đảm bảo an toàn tại nơi sản xuất cho công nhân lao động.
Cơ quan y tế Hồ Bắc xác nhận đã có thêm 70 trường hợp nhiễm virus corona mới tử vong tại tỉnh này trong ngày 5-2, nâng tổng số người chết lên con số 549. Tính trên toàn Trung Quốc, đã có 565 người chết vì dịch.
Mới đây, Bệnh viện Nhân dân tỉnh Quảng Đông (Trung Quốc) cho biết, họ vừa đưa hai robot vào sử dụng để mang thuốc đến cho các bệnh nhân đang được điều trị do virus corona.
Hải quân Mỹ và tập đoàn chế tạo máy bay Boeing đã tiến hành bay thử nghiệm 2 máy bay chiến đấu phản lực đa nhiệm không người lái và hoàn toàn do một máy bay khác điều khiển.
Chiều tối nay (5/2), Chủ tịch UBND tỉnh Trần Tiến Hưng cùng Phó Chủ tịch Thường trực UBND tỉnh Đặng Quốc Vinh chủ trì cuộc họp Ban Chỉ đạo phòng chống dịch bệnh viêm đường hô hấp cấp do virus Corona tỉnh Hà Tĩnh để cho ý kiến về một số nhiệm vụ trọng tâm, cấp bách.
Trước tình trạng các loại nông sản, trong đó có dưa hấu của bà con Tây Nguyên bị ế, rớt giá, ĐVTN huyện Cẩm Xuyên và TP Hà Tĩnh đã mở các điểm bán hàng, chung tay giúp đỡ nông dân.
Được điều khiển từ xa, robot có cánh tay này sẽ thay y tá lấy mẫu dịch từ cổ họng bệnh nhân để tiến hành các xét nghiệm, nhờ đó tránh nguy cơ các nhân viên y tế bị lây nhiễm virus.
Mới đây, CLB Hồng Lĩnh Hà Tĩnh đã gửi lên Ban Tổ chức Giải bóng đá Cúp Quốc gia 2020 danh sách 30 cầu thủ, trong đó có 3 ngoại binh. Trong danh sách này, người hâm mộ có thể nhận thấy những gương mặt hứa hẹn sẽ tỏa sáng trong mùa giải mới.
Với quan điểm “chống dịch như chống giặc”, các địa phương ở Hà Tĩnh đã tập trung triển khai nhiều biện pháp tích cực nhằm chủ động phòng ngừa và đối phó với những diễn biến phức tạp của dịch bệnh viêm đường hô hấp cấp do chủng mới của virus Corona gây ra.
Từ ngày 4/2, Bệnh viện Đa khoa Nghi Xuân mở thêm Phòng khám Nhi khoa do các bác sỹ đến từ Bệnh viện Nhi trung ương đảm nhận. Đây là một trong những nội dung thuộc dự án “Đào tạo, chăm sóc sức khỏe nhi khoa ban đầu" tại Bệnh viện Đa khoa huyện Nghi Xuân gian đoạn 2019 – 2021.
Đại lộ cây baobab hùng vĩ, có hình dáng kỳ lạ là điểm đến nổi tiếng tại Madagasca. Theo lời của người dân địa phương, cây baobab ở đây có tuổi đời ngót nghét 3.000 năm.
Sau khi đã qua 30 ngày có dịch tả lợn châu Phi (tính đến đầu tháng 12/2019), gần đây trên địa bàn Hà Tĩnh, dịch bệnh lại tái phát tại 5 xã thuộc 3 huyện, buộc phải tiêu hủy 58 con lợn ốm chết.