16 giờ 5 phút chiều nay (22/6), thí sinh đã kết thúc bài thi môn Toán sau 90 phút làm bài. Dưới đây là đề thi và gợi ý bài giải môn Toán THPT quốc gia 2017.
Mã đề 124
Gợi ý bài giải môn Toán THPT quốc gia 2017 do Tổ giáo viên Hoc24h.vn thực hiện.
1. D
2. B
3. D
4. B
5. C
6. C
7. A
8. B
9. D
10. A
11. B
12. A
13. A
14. B
15. B
16. C
17. A
18. C
19. A
20. B
21. C
22. A
23. C
24. C
25. B
26. D
27. A
28. C
29. C
30. A
31. B
32. C
33. C
34. D
35. B
36. B
37. D
38. D
39. C
40. D
41. D
42. B
43. C
44. C
45. D
46. A
47. A
48. B
49. A
50. D
Mã đề 122
Gợi ý bài giải môn Toán THPT quốc gia 2017 do Tổ giáo viên Hocmai.vn thực hiện.
1. A
2. D
3. C
4. A
5. B
6. B
7. A
8. C
9. D
10. B
11. C
12. A
13. C
14. A
15. C
16. A
17. A
18. D
19. B
20. D
21. A
22. B
23. C
24. B
25. A
26. B
27. A
28. C
29. D
30. A
31. D
32. D
33. D
34. C
35. A
36. C
37. B
38. D
39. B
40. C
41. B
42. B
43. A
44. C
45. D
46. D
47. D
48. C
49. D
50. C
Mã đề 115
Gợi ý bài giải môn Toán THPT quốc gia 2017 do Tổ giáo viên Hoc24h.vn thực hiện.
1. B
2. B
3. B
4. C
5. A
6. A
7. C
8. C
9. A
10. C
11. C
12. B
13.
14. A
15. B
16. C
17. B
18. B
19. B
20. A
21. B
22. C
23. C
24. D
25. C
26. B
27. D
28.
29.
30.
31.
32.
33.
34.
35.
36.
37.
38.
39.
40.
41.
42.
43.
44.
45.
46
47.
48.
49.
50.
Đề thi môn Toán THPT quốc gia 2017:
Lưu ý: Các đánh dấu trong đề là của thí sinh, không phải đáp án.
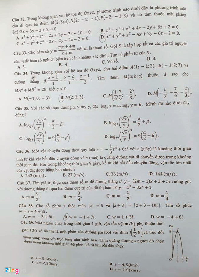
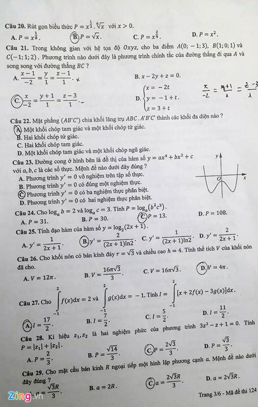
Mã đề 124
Mã đề 122
Nhóm giải đề thi môn Toán THPT quốc gia 2017. Ảnh: Hoàng Hà.
Việc đưa thư viện đồ chơi vào hoạt động tại các trường mầm non ở Hà Tĩnh đã mở ra không gian trải nghiệm thú vị, giúp trẻ em sớm hình thành thói quen đọc sách và thỏa sức sáng tạo.
Từ những nỗ lực của thầy và trò, tại mỗi kỳ thi, giáo dục Hà Tĩnh lại thêm “mùa quả ngọt”. Thành tích tự hào tại các kỳ thi học sinh giỏi quốc gia, quốc tế là minh chứng cho hành trình bền bỉ vun đắp tri thức và khát vọng “vươn ra biển lớn” của học sinh Hà Tĩnh.
Việc phục hồi Trường học Phúc Giang không chỉ là bảo tồn di sản quý, mà còn góp phần khơi dậy giá trị truyền thống hiếu học, tạo động lực phát triển văn hóa, du lịch Hà Tĩnh.
Nhân kỷ niệm 120 năm Ngày sinh Tổng Bí thư Hà Huy Tập, nhiều trường học tổ chức giáo dục truyền thống gắn trải nghiệm, lan tỏa niềm tự hào, bồi đắp lý tưởng cho học sinh Hà Tĩnh.
Dạy thêm, học thêm – câu chuyện không mới nhưng chưa bao giờ hạ nhiệt. Khi chính sách có điều chỉnh, liệu những “nút thắt” lâu nay đã thực sự được tháo gỡ? Nội dung này sẽ được bàn luận trong chương trình Vấn đề hôm nay của Báo và phát thanh, truyền hình Hà Tĩnh.
Trước chủ trương thống nhất sử dụng một bộ sách giáo khoa từ năm học 2026–2027, nhiều trường học ở Hà Tĩnh chủ động xây dựng phương án vừa đảm bảo hiệu quả dạy học, vừa tránh lãng phí nguồn sách.
iSchool Summer Camp 2026 hứa hẹn mang đến một mùa hè sôi động, bổ ích, nơi học sinh vừa học vừa chơi, phát triển toàn diện kỹ năng và tư duy ở cấp học từ mầm non đến THPT.
Lựa chọn môi trường học tập ở bậc tiểu học luôn là quyết định quan trọng với mỗi gia đình. Chính từ những trăn trở ấy, sức hút của Trường Albert Einstein được khẳng định qua niềm tin và trải nghiệm thực tế của phụ huynh, học sinh.
50 lá thư, gần 1.000 cánh hạc giấy do học sinh Trường Tiểu học thị trấn Phố Châu (xã Hương Sơn, Hà Tĩnh) thực hiện đã trở thành những “nhịp cầu” nối đất liền với đảo xa, góp phần bồi đắp tình yêu Tổ quốc trong tâm hồn thế hệ măng non.
Giữa nhịp sống số, Hà Tĩnh đang nỗ lực thúc đẩy văn hóa đọc bằng những cách làm mới, qua đó lan tỏa những thông điệp của Ngày Sách và Văn hóa đọc Việt Nam (21/4).
Ngày Sách và Văn hóa đọc Việt Nam (21/4) gắn với sự kiện ra mắt cuốn “Đường Kách mệnh” của lãnh tụ Nguyễn Ái Quốc - tác phẩm đầu tiên bằng tiếng Việt được in bởi những người thợ in Việt Nam.
Với nỗ lực, quyết tâm cao và các thành tích tập thể, cá nhân, đoàn Hà Tĩnh xuất sắc giành giải nhất toàn đoàn tại Hội thao Giáo dục quốc phòng và an ninh học sinh THPT toàn quốc.
Mùa tuyển sinh đại học 2026 có nhiều điều chỉnh như siết chặt xét học bạ, chứng chỉ ngoại ngữ. Những điều chỉnh này nhằm nâng cao chất lượng đầu vào, đồng thời buộc thí sinh phải chuẩn bị kỹ lưỡng hơn để gia tăng cơ hội trúng tuyển.
Xem video review sách đang trở thành cách tiếp cận tri thức phổ biến của giới trẻ. Liệu những bản review có khiến người đọc đánh mất khả năng tư duy sâu và phản biện?
Ngày Sách và Văn hóa đọc Việt Nam lần thứ V, năm 2026 nhằm tôn vinh giá trị của sách, khẳng định vai trò quan trọng của sách trong đời sống xã hội, khuyến khích thói quen đọc sách trong cộng đồng, đặc biệt là thế hệ trẻ.
Xu hướng lựa chọn tổ hợp môn thi tốt nghiệp THPT ở Hà Tĩnh có sự dịch chuyển rõ rệt, nhiều học sinh ưu tiên nhóm khoa học xã hội nhằm phù hợp năng lực và tối ưu cơ hội xét tuyển đại học.
Theo Sở GD&ĐT Hà Tĩnh, thí sinh trên địa bàn có thể đăng ký dự thi tốt nghiệp THPT, nộp hồ sơ xét tốt nghiệp THPT năm 2026 theo hình thức trực tuyến hoặc trực tiếp.
Hội thảo tuyển sinh Trường Albert Einstein (phường Thành Sen, Hà Tĩnh) diễn ra vào thứ 7 ngày 18/4/2026 nhằm giới thiệu tổng quan về môi trường học tập, chương trình giáo dục, định hướng phát triển học sinh, các thông tin tuyển sinh và chính sách học bổng cho năm học mới.
Năm học 2026-2027, Trường Hội nhập quốc tế iSchool Hà Tĩnh tiếp tục khẳng định vị thế với chiến lược tuyển sinh linh hoạt, chính sách học bổng hấp dẫn cùng chương trình đào tạo hiện đại, mở rộng cơ hội học tập toàn diện cho học sinh trên địa bàn.
Nhờ tình yêu thương và những phương pháp giáo dục phù hợp, nhiều trẻ khuyết tật tại Hà Tĩnh đang dần vượt qua mặc cảm, nỗ lực học tập, rèn luyện và tự tin hòa nhập cộng đồng.
Trước tình hình nắng nóng diễn biến phức tạp ở Hà Tĩnh, các nhà trường đã chủ động điều chỉnh thời gian vào học, tăng cường các biện pháp bảo vệ sức khỏe cho học sinh.
UBND phường Thành Sen (Hà Tĩnh) đã kịp thời vào cuộc, xác minh vụ việc liên quan đến hình ảnh một giáo viên có biểu hiện chưa phù hợp với chuẩn mực sư phạm trên địa bàn.
Dạy thêm, học thêm từ lâu đã là một vấn đề giáo dục phức tạp, đòi hỏi chúng ta phải có một cái nhìn khách quan, đa chiều từ cội nguồn lịch sử, kinh nghiệm quốc tế đến các giải pháp quản lý thực tiễn nhằm giải quyết căn cơ vấn nạn này.
Những bức tranh về chủ đề ngày Giải phóng miền Nam 30/4 do cô giáo Đặng Thị Hiền (phường Hà Huy Tập, Hà Tĩnh) và các học trò thực hiện là kênh giáo dục trực quan, giúp các em hiểu hơn về lịch sử, bồi đắp lòng yêu nước...
Cùng với việc hoàn thành chương trình tiểu học, học sinh lớp 5 đang được các nhà trường chú trọng rèn luyện kỹ năng, tạo nền tảng vững vàng để sẵn sàng bước vào cấp THCS.
Trước ngưỡng cửa bước vào đại học, nhiều học sinh lớp 12 đang đứng giữa áp lực chọn ngành, chọn trường. Theo xu hướng hay theo năng lực vẫn là băn khoăn lớn của nhiều học sinh Hà Tĩnh.
Hiện nay, giáo viên và phụ huynh ở Hà Tĩnh đang chủ động đồng hành, triển khai nhiều giải pháp giúp học sinh lớp 9 giảm áp lực, tự tin bước vào kỳ thi sắp tới.