(Baohatinh.vn) - Các biển số của Hà Tĩnh được đưa ra đấu giá gồm: 38A - 561.68, 38A - 556.86, 38A - 555.51, 38A - 562.86, 38C - 197.79, 38C - 199.79.
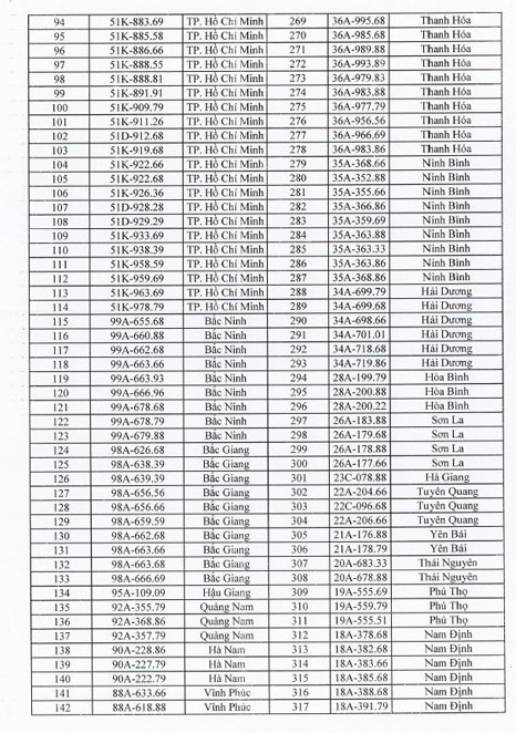
Công ty Đấu giá hợp danh Việt Nam vừa thông báo danh sách biển số xe ô tô sẽ đấu giá ngày 10/10/2023.
Theo đó, sẽ có 350 biển số sẽ đấu giá vào ngày 10/10, trong đó có các biển số: 30K-608.88, 35A-999.68, 43A-777.55, 51K-888.55, 75A-322.22, 81C-233.33, 88A-622.22, 95A-109.09, 98A-666.69... Riêng Hà Tĩnh, sẽ có các biển số sau được đưa ra đấu giá: 38A - 561.68, 38A - 556.86, 38A - 555.51, 38A - 562.86, 38C - 197.79, 38C - 199.79.
VinFast VF 8 đang gây chú ý khi đi kèm loạt ưu đãi khủng như miễn phí sạc, mức hỗ trợ 10% hay chính sách mua xe trả góp 0 đồng vốn đối ứng. Khách hàng mua VF 8 tới 1/2 còn có cơ hội trúng thêm một xe máy điện hoặc nhiều phần quà giá trị.
Dịp Tết, nhu cầu di chuyển bằng ô tô tăng mạnh. Nhiều gia đình không khỏi lo lắng về chi phí xăng dầu khi phải di chuyển quãng đường dài trong bối cảnh giá nhiên liệu vẫn ở mức cao.
Việc thuê xe tự lái hoặc cho người thân, bạn bè mượn xe đang ngày càng phổ biến, đặc biệt tại các đô thị lớn. Tuy nhiên, đi kèm với sự tiện lợi đó là một nỗi lo không nhỏ đối với nhiều chủ phương tiện: xe mình đứng tên nhưng vi phạm lại do người khác điều khiển.
Khởi động xe rồi di chuyển ngay, bơm lốp quá căng, hé cửa kính khi đang chạy… là những thói quen tưởng chừng vô hại nhưng lại tiềm ẩn nhiều rủi ro, làm giảm mức độ an toàn khi lái xe trong mùa lạnh.
Nhà sản xuất pin là CATL vừa chính thức ra mắt dòng pin natri-ion đầu tiên trên thế giới được sản xuất hàng loạt, với ưu điểm là khả năng vận hành bền bỉ kể cả ở môi trường khắc nghiệt.
Thời gian gần đây, dư luận liên tục bàng hoàng trước các vụ tai nạn giao thông nghiêm trọng xảy ra vào ban đêm và rạng sáng, đặc biệt là những vụ việc liên quan đến xe khách, xe cưới chạy đường dài.
Trên nền thiết kế hiện đại, VF 7 sở hữu hệ động lực điện với sức mạnh vượt trội các đối thủ chạy xăng, trong khi giá bán hấp dẫn chỉ từ 789 triệu đồng. Loạt ưu đãi từ VinFast càng khiến mẫu xe này hấp dẫn hơn vào thời điểm giáp Tết Bính Ngọ.
Một trong những tình huống nguy hiểm và gây ám ảnh nhất cho các tài xế, đặc biệt là tài mới: xe đang chạy giữa trời mưa, kính lái bỗng dưng mờ đặc từ bên trong, hoàn toàn che khuất tầm nhìn.
Giai đoạn cuối năm, khi nhu cầu di chuyển liên tỉnh tăng cao, nhiều hành khách đang có xu hướng ưu tiên các chuyến xe điện liên tỉnh của Xanh SM - dịch vụ được thiết kế với lịch trình cố định, điểm đón trả rõ ràng, chi phí minh bạch và chất lượng 5 sao.
Chỉ một thói quen nhỏ như dùng nước máy thay cho nước rửa kính chuyên dụng cũng có thể âm thầm gây hại và khiến chủ xe tốn kém chi phí sửa chữa về sau.
Lốp xe điện thường mòn nhanh hơn xe chạy xăng do trọng lượng lớn và mô-men xoắn tức thì, buộc người dùng phải quan tâm hơn đến việc lựa chọn loại lốp phù hợp.
Nhằm tạo điều kiện thuận lợi cho người lao động Hà Tĩnh đang sinh sống và làm việc tại các tỉnh, thành khác, hệ thống cửa hàng Xe Máy Phú Tài Đức triển khai chương trình “Hỗ trợ lao động ngoại tỉnh mua xe”, giúp việc mua xe tại quê nhà trở nên thuận tiện, tiết kiệm thời gian và chi phí.
Người mua VinFast VF 8 thời điểm hiện tại được hưởng đặc quyền “mua một được nhiều” khi vừa được hưởng loạt ưu đãi “cực thơm” vừa có cơ hội nhận thêm loạt quà giá trị, từ xe máy điện đến voucher nghỉ dưỡng.
Không đơn thuần là một phương tiện di chuyển, với nhiều người, VinFast VF 7 còn là niềm cảm hứng thay đổi phân khúc C-SUV. Với hiệu năng mạnh mẽ, thiết kế hiện đại và hàm lượng công nghệ dày đặc, mẫu xe này đã chinh phục người dùng và tiếp tục thiết lập nên những bước tiến mới về doanh số.
Nhân dịp Tết Nguyên đán Bính Ngọ 2026, Xe Máy Phú Tài Đức triển khai chương trình ưu đãi quy mô lớn dành cho khách hàng mua xe cuối năm, với hàng loạt hoạt động quay thưởng, quà tặng giá trị và chính sách hỗ trợ hấp dẫn.
Trong vô vàn kỹ năng khi cầm lái của tài xế, cách đặt hai tay trên vô lăng thế nào cho đúng lại là chi tiết thường bị bỏ qua, nhất là với những tài xế đã có thâm niên.
Tổng hợp các yếu tố từ an toàn, tiện nghi, hiệu suất vận hành đến chi phí sử dụng, VinFast VF 8 cho thấy lợi thế toàn diện trong phân khúc SUV 5 chỗ tầm giá 1 tỷ đồng. Thời điểm trước Tết Nguyên đán, giá của mẫu SUV đáng mơ ước này đang ở mức không thể tốt hơn nhờ những chính sách thúc đẩy chuyển đổi xanh của VinFast.
Theo dự kiến, 5 dự án cao tốc là Mai Sơn - quốc lộ 45; quốc lộ 45 - Nghi Sơn; Nghi Sơn - Diễn Châu; Vĩnh Hảo - Phan Thiết; Phan Thiết - Dầu Giây sẽ thu phí từ cuối tháng 2/2026.
Không có vô-lăng hay ghế lái, xe buýt tự hành Robobus tự nhận diện môi trường giao thông, xử lý tình huống và vận hành trên đường phố với tốc độ trung bình 40 km/h.
Bộ Nông nghiệp và Môi trường vừa ban hành Thông tư số 92/2025/TT-BNNMT quy định Quy chuẩn kỹ thuật quốc gia về khí thải xe mô tô, xe gắn máy tham gia giao thông đường bộ. Thông tư này có hiệu lực từ ngày 30/6/2026.
Ngành công nghiệp ôtô toàn cầu đẩy mạnh hợp tác phát triển phần mềm nguồn mở, kỳ vọng rút ngắn thời gian ra mắt xe thế hệ mới và cắt giảm đáng kể chi phí.