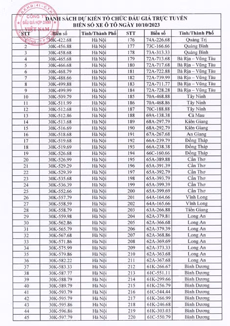
(Baohatinh.vn) - Các biển số của Hà Tĩnh được đưa ra đấu giá gồm: 38A - 561.68, 38A - 556.86, 38A - 555.51, 38A - 562.86, 38C - 197.79, 38C - 199.79.
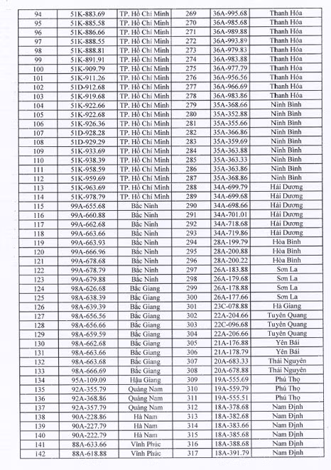
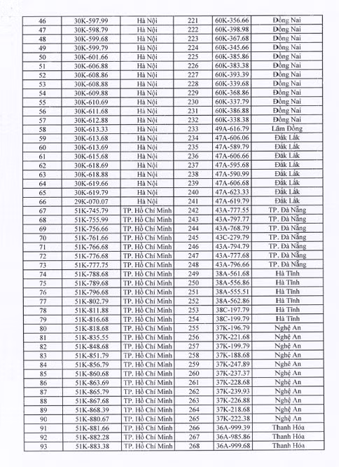
Công ty Đấu giá hợp danh Việt Nam vừa thông báo danh sách biển số xe ô tô sẽ đấu giá ngày 10/10/2023.
Theo đó, sẽ có 350 biển số sẽ đấu giá vào ngày 10/10, trong đó có các biển số: 30K-608.88, 35A-999.68, 43A-777.55, 51K-888.55, 75A-322.22, 81C-233.33, 88A-622.22, 95A-109.09, 98A-666.69... Riêng Hà Tĩnh, sẽ có các biển số sau được đưa ra đấu giá: 38A - 561.68, 38A - 556.86, 38A - 555.51, 38A - 562.86, 38C - 197.79, 38C - 199.79.
Từ 24-26/4, chương trình “Hào khí sông Lam” đã trở thành điểm hẹn sôi động tại Vincom Hà Tĩnh, mang tới cơ hội trực tiếp trải nghiệm thực tế các dòng xe điện thông minh của VinFast. Trong đó, VF 6 với khả năng vận hành “bốc” và hàm lượng công nghệ ấn tượng đã khiến nhiều người lái thử bất ngờ.
Ôtô điện tại Việt Nam dường như đang gặp thời khi được hỗ trợ bởi nhiều yếu tố khác nhau. Giai đoạn hưng thịnh của ôtô điện nhiều khả năng sẽ còn tiếp tục kéo dài cho đến hết thập kỷ.
Sở hữu ngôn ngữ thiết kế riêng và liên tiếp được vinh danh tại các giải thưởng quốc tế, VF 7 đã tạo được sức hút lớn với nhóm khách hàng đề cao phong cách. Mẫu xe này cũng trở nên dễ tiếp cận hơn nhờ chính sách bán hàng hấp dẫn.
ADAS mượt mà, kết hợp cùng khả năng vận hành ổn định, êm ái nhờ hệ thống treo sau đa điểm là những ưu điểm giúp nhiều chủ xe VF 6 luôn thảnh thơi trên mọi hành trình.
Giá vật liệu nhựa leo thang trên toàn cầu đang gây sức ép lên chi phí sản xuất xe máy, buộc một số hãng Nhật Bản tại Đông Nam Á như Yamaha, Suzuki tính đến phương án tăng giá bán.
Tưng bừng không khí những ngày đầu hè, Hyundai Hà Tĩnh chính thức khởi động chương trình bốc thăm trúng thưởng quy mô lớn với giải đặc biệt là một chiếc xe ô tô Grand i10. Đây là tâm điểm trong chuỗi ưu đãi “Vui Thống Nhất - nhận quà chất” với tổng giá trị khuyến mại lên đến 220 triệu đồng.
Nhờ loạt ưu đãi về giá lên đến 9%, phương án “mua xe 0 đồng” với lãi suất cố định, cùng chính sách miễn phí sạc 3 năm, VinFast VF 3 đang là mẫu xe “dễ mua – dễ nuôi” bậc nhất trên thị trường ô tô Việt.
Nhờ chính sách sạc pin 0 đồng lên tới 3 năm và khả năng tiết kiệm chi phí cho chủ xe suốt vòng đời sử dụng, VF 6 mở ra cơ hội sở hữu ô tô dễ dàng, lâu dài cho người dùng Việt.
Trong cuộc đua công nghệ của ngành ô tô, nhiều tính năng hiện đại được giới thiệu với mục tiêu nâng cao tiện nghi, tối ưu thiết kế và cải thiện hiệu suất vận hành. Tuy nhiên, không ít công nghệ lại đang vấp phải những lo ngại về mức độ an toàn cũng như sự tiện dụng trong thực tế sử dụng.
Tháng 4/2026, khách hàng Việt có cơ hội sở hữu mẫu C-SUV bán chạy nhất phân khúc với mức ưu đãi trực tiếp lên đến 9% cùng đặc quyền “0 đồng nhiên liệu” suốt gần 3 năm. VinFast VF 7 bởi thế được coi là khoản đầu tư “lời” ngay từ vạch xuất phát.
Nhiều ô tô hiện đại đã được trang bị tính năng cảnh báo người ngồi sau, nhưng người dùng xe cần phải tạo thói quen kiểm tra xe trước khi rời đi, nhằm tránh bỏ quên trẻ trên ô tô.
Ngay sau khi nhận xe mới, việc chủ xe có những quyết định đúng đắn trong sử dụng và trang bị ban đầu sẽ ảnh hưởng trực tiếp đến độ bền, khả năng vận hành cũng như giá trị lâu dài của phương tiện.
Vừa mạnh mẽ trên mọi cung đường, vừa tối ưu chi phí sử dụng, VinFast VF 6 đang trở thành lựa chọn đáng tiền cho các gia đình muốn tận hưởng kỳ nghỉ dài ngày mà không phải bận tâm tới bài toán vận hành.
Theo Điều 8 Nghị định 10/2022/NĐ-CP (sửa đổi bởi Nghị định 51/2025/NĐ-CP và Nghị định 175/2025/NĐ-CP): Ô tô, rơ moóc, sơ mi rơ moóc, xe chở người bốn bánh có gắn động cơ, xe chở hàng bốn bánh có gắn động cơ, xe máy chuyên dùng, xe tương tự các loại xe này: Mức thu lệ phí trước bạ là 2%
VinFast VF 7 đang chinh phục cả những chủ xe khó tính nhờ sự kết hợp giữa hiệu năng vượt trội, trải nghiệm êm ái và bài toán chi phí sử dụng được tối ưu.
Theo đề xuất, người mua xe điện có thể tiếp tục được hưởng ưu đãi 0% lệ phí trước bạ đến hết năm 2030 thay vì hết tháng 2/2027 như Nghị định hiện hành.
Phiên bản thử nghiệm mang tên Project Nightingale, với tông màu xanh pastel, lấy cảm hứng từ phong cách Art Deco và các mẫu xe thử nghiệm của Rolls-Royce từ những năm 1920.
Hãng xe Nhật Bản Nissan hé lộ những hình ảnh đầu tiên về Rogue 2027 tại thị trường Mỹ. Mẫu gầm cao cỡ C mới thay đổi thiết kế, trang bị hệ thống e-Power, bán ra cuối năm 2026.
Sau tháng 2 có phần sa sút, Ford Ranger tìm lại sức bán tốt, đòi lại ngôi đầu từ tay Toyota Hilux và tiếp tục khẳng định vị thế "vua bán tải" ở Việt Nam.
Nắng nóng đầu mùa là “bài test” khắc nghiệt với ô tô cũ, từ điều hoà, lốp xe đến nước làm mát, gạt mưa đều dễ xuống cấp. Nếu không kiểm tra sớm, chủ xe có thể phải trả giá bằng những hỏng hóc tốn kém.
Tháng 3/2026, VinFast VF 5 tiếp tục là mẫu xe bán chạy nhất phân khúc A-SUV và một trong những mẫu xe top đầu về doanh số trên thị trường Việt nhờ giá lăn bánh thấp, chi phí vận hành gần như bằng 0 cùng sức mạnh và trang bị hiếm có trong tầm giá.
Trong quá trình điều khiển xe số sàn, nhiều tài xế, đặc biệt là người mới lái thường duy trì một thói quen tưởng chừng vô hại nhưng lại gây tổn hại nghiêm trọng cho xe. Đó là việc đạp côn liên tục khi xe đang di chuyển, hay còn gọi là “rà côn”.